Fig. 2
From: R. vesicarius L. exerts nephroprotective effect against cisplatin-induced oxidative stress

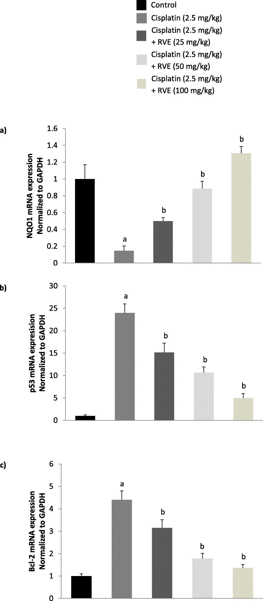
Ameliorative effect of RVE on expression of NQO1, p53, and Bcl-2 mRNA in mice kidney tissue. a) mRNA quantity of NQO1 b) mRNA quantity of p53 c) mRNA quantity of Bcl-2. Results are mean ± SD (n = 6). a significant difference (p < 0.05) in respect to control. b significant difference (p < 0.05) in respect to cisplatin (2.5 mg/kg) treated group